Los triángulos áureos, geometría y arte (I)
En la anterior entrada del Cuaderno de Cultura Científica titulada El triángulo áureo de Kepler presentábamos el conocido como triángulo de Kepler, un triángulo rectángulo en el que confluyen dos tesoros de la geometría, según el astrónomo, matemático y físico alemán Johannes Kepler (1571-1630), el teorema de Pitágoras y la existencia de la extrema y media razón de un segmento, es decir, la razón áurea. El triángulo de Kepler es un triángulo rectángulo de lados iguales a 1, raíz cuadrada de ϕ (Phi) y ϕ (Phi), o proporcionales a estos.

En estas dos entradas de la miniserie titulada Los triángulos áureos, geometría y arte se van a presentar una serie de triángulos susceptibles de ser denominados triángulos áureos, ya que la proporción de dos de sus lados es igual al número de oro, dos de ellos son triángulos rectángulos (el cartabón áureo y el triángulo de Kepler) y dos son isósceles y están relacionados con el pentágono y la pentalfa).
Extrema y media razón de un segmento
Empecemos recordando qué es la razón áurea. Como ya decíamos en la anterior entrada, en la gran obra de la matemática griega y universal Los Elementos del matemático griego Euclides (aprox. 325-265 a.n.e.), se define el concepto de extrema y media razón, que es como se denominó inicialmente a la razón áurea o divina proporción, de la siguiente manera:
Se dice que un segmento de recta está dividido en extrema y media razón cuando la longitud del segmento total es a la parte mayor, como la de esta parte mayor es a la menor.
Es decir, si tenemos un segmento como el que aparece en la siguiente imagen, buscamos el punto del mismo que divide al segmento en dos partes, de longitudes a y b, de forma que la proporción o razón entre la parte mayor y la menor, a / b es igual a la proporción entre la longitud del segmento y la parte mayor (a + b) / a.

Ahora, si se denota por ϕ (Phi) al cociente a/b, la condición anterior se puede escribir como la ecuación algebraica siguiente:
![]()
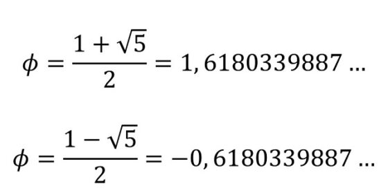
Esta es una ecuación de segundo grado, cuyas soluciones, son

Al número ϕ (Phi), solución positiva de la anterior ecuación, cuyos primeros dígitos son
1,618033988749894848204586834365…,
se le conoce con varios nombres, además de “extrema y media razón”, como número áureo, divina proporción o razón áurea.
El cartabón áureo
El primer triángulo áureo del que vamos a hablar es el más obvio, ya que es la mitad de un rectángulo áureo. En la entrada titulada ECHO, un cómic áureo, ya explicamos que un rectángulo es áureo si la proporción a/b entre su alto, a, y su ancho, b, es precisamente la divina proporción ϕ (Phi) = 1,618…

El rectángulo áureo se puede construir fácilmente a partir de un cuadrado. Dado un cuadrado (en la imagen el cuadrado ABCD), que podemos considerar de lado 1, es fácil ver, por el teorema de Pitágoras, que el segmento que va desde el punto M que está en la mitad de uno de los lados (el de abajo, AB, en la imagen) a uno de los vértices del lado opuesto (el de arriba a la derecha, C, en la imagen) tiene longitud igual a raíz cuadrada de 5 dividido 2 (√5/2). Si ahora trazamos el arco de circunferencia centrado en M y de radio esa longitud, es decir, que pasa por el punto C, y llamamos E al punto de intersección de la circunferencia con la recta que extiende el segmento AB, entonces el rectángulo creado AEFD es un rectángulo áureo, puesto que el largo es Phi [1/2 + √5/2 = (1 + √5)/2] y el ancho es 1, luego tiene proporción áurea.

Es una creencia muy difundida que el rectángulo áureo es el más bello, o el más placentero estéticamente, entre todos los posibles rectángulos. Esta idea de que el rectángulo áureo es el que nos parece más hermoso viene del polémico experimento realizado en la década de 1860 por el físico, filósofo y psicólogo alemán Gustav Fechner (1801-1887), como podéis leer en la entrada ECHO, un cómic áureo.

Antes de definir nuestro cartabón áureo, recordemos que el cartabón clásico, que se utiliza en dibujo técnico, es un triángulo rectángulo cuyos ángulos son 30, 60 y 90 grados, y que la proporción de sus lados en la raíz cuadrada de 3 (si uno de sus catetos mide 1, el otro medirá la raíz de 3 y la hipotenusa 2). En la entrada Las proporciones de la vesica piscis ya vimos cómo se genera un rectángulo cuya proporción es la raíz de 3 a partir de un cuadrado, del cual se construye un rectángulo de proporciones raíz de dos y de este el rectángulo deseado (siguiente imagen).

El cartabón clásico se obtiene cortando el rectángulo raíz de 3 por una de sus diagonales.

De la misma forma, el cartabón áureo se obtiene cortando el rectángulo áureo por una de sus diagonales, como se muestra en la siguiente imagen.

Los ángulos del cartabón áureo son los ángulos agudos de 31,72 y 58,28 grados, junto con el ángulo recto de 90 grados.
Es probable que cuando algunos artistas hablan del uso del triángulo áureo para la composición de sus obras se estén refiriendo al cartabón áureo, ya que es una sencilla herramienta que permite construir rectángulos áureos. Pero de esto ya hablaremos en otro momento, aunque sí me gustaría terminar este apartado con una curiosa pintura en la que se representa el teorema de Pitágoras para un triángulo rectángulo que podría ser el cartabón áureo. Me estoy refiriendo a la obra Don Quijote y Lenin (1940), que podéis admirar en la siguiente imagen, de la artista, arquitecta y educadora austriaca judía Friedl Dicker-Brandeis (1898-1944), asesinada por los nazis en el Campo de Concentración de Auschwitz-Birkenau.

Sobre este cuadro, su amiga Hilde Kothny dice lo siguiente:
Era el sueño de Friedl. Saltó de la cama y enseguida se puso a pintar, directamente sobre el lienzo. Friedl siempre estaba creando alegorías: Don Quijote, la vida de Pitágoras… sus interminables alegorías. Le rogué que me vendiera ese cuadro, pero no hubo forma de convencerla. Tras largas discusiones, finalmente me lo regaló poco antes de su deportación.
Efectivamente, podemos identificar en la pintura el esquema geométrico del teorema de Pitágoras. Por otra parte, en el artículo The Other Legacy of Vienna 1900: The Ars Combinatoria of Friedl Dicker-Brandeis / El otro legado de Viena 1900: el arte combinatorio de Friedl Dicker-Brandeis (Julie M. Johnson, Austrian History Yearbook 51, pp. 243 – 268, 2020) se puede leer lo siguiente en relación a la parte matemática del cuadro:
Sus líneas de puntos tienen la forma del triángulo de Kepler, un triángulo pitagórico formado por tres cuadrados cuyo tamaño aumenta según la proporción áurea.
Me emocionó leer que esta artista, que había estudiado en la Bauhaus, había utilizado el triángulo rectángulo de Kepler junto al esquema geométrico del teorema de Pitágoras asociado (véase la entrada El triángulo áureo de Kepler), sin embargo, el triángulo rectángulo del cuadro se asemeja más al cartabón áureo que al triángulo de Kepler.

El triángulo de Kepler
Nuestro segundo triángulo áureo, que también es un triángulo rectángulo, es el triángulo de Kepler, del que ya hablamos en la entrada titulada El triángulo áureo de Kepler. Para esta entrada, recordemos simplemente que este es un triángulo rectángulo de lados iguales a 1, raíz (cuadrada) de ϕ (Phi) y ϕ (Phi), o proporcionales a estos.

Mientras que los ángulos, no rectos, del cartabón áureo son de 31,72 y 58,28 grados, como ya se ha comentado antes, los ángulos del triángulo de Kepler son 38,17 y 51,83 grados.
En la siguiente imagen comparamos los esquemas geométricos del teorema de Pitágoras para el triángulo de Kepler y el cartabón áureo, con los que podemos comprobar que el esquema geométrico que aparece en el cuadro Don Quijote y Lenin (1940), de la artista Friedl Dicker-Brandeis, es el del cartabón áureo.

En relación al triángulo de Kepler me gustaría mostrar un pequeño descubrimiento que hice recientemente sobre la presencia de este triángulo en el arte. Hace semanas, mientras leía sobre algunos artistas cubistas, encontré el catálogo de la exposición Jacques Lipchitz (1891-1973). Esculturas y dibujos (Oriol Galeria d’Art, Barcelona, 2010). En este catálogo del artista cubista lituano Jacques Lipchitz, que en su autobiografía Mi vida en escultura (1972) reconoció que al igual que otros cubistas él también había utilizado la razón áurea, me encontré con la escultura Repentant Magdalene / Magdalena arrepentida (1921), que puede verse en la siguiente imagen. Esta es una pequeña escultura de bronce de la que me llamó la atención la forma triangular de la misma.

Por suerte para mí, en el catálogo también estaba recogido un sencillo boceto que realizó Lipchitz para la escultura Magdalena arrepentida (1921) y que puede verse en la siguiente imagen.

Al ver el boceto me pregunté si no sería el triángulo de Kepler ese triángulo rectángulo que aparecía en el mismo. Al superponer ese rectángulo áureo en el boceto descubrí que no andaba desencaminado con mi sospecha, ya que encajaba a la perfección.

Más aún, en el boceto podíamos apreciar otro triángulo de Kepler más pequeño, como se muestra en la siguiente imagen.

En la siguiente entrada más…
En la siguiente entrada del Cuaderno de Cultura Científica hablaremos de geometría y arte para los triángulos isósceles áureos, que están íntimamente relacionados con el pentágono y la pentalfa.
Y para finalizar esta entrada una pintura del artista navarro José María Yturralde titulada El vacío y la luz (1999), en la cual el autor utiliza, según sus propias palabras, la descomposición del rectángulo áureo en un cuadrado (azul) y un rectángulo áureo más pequeño (gris).

Bibliografía
1.- Mario Livio, La proporción áurea, La historia de phi, el número más sorprendente del mundo, Ariel, 2006.
2.- Roger Herz-Fischler, A “Very Pleasant Theorem”, The College Mathematics Journal, Vol. 24, No. 4, pp. 318-324 (1993).
Sobre el autor: Raúl Ibáñez es profesor del Departamento de Matemáticas de la UPV/EHU y colaborador de la Cátedra de Cultura Científica
